Here is full list of Rs200 prize bond winners for March 16, 2026 draw
1 min readNational Savings Centre Faisalabad has announced the winning numbers for the Rs200 prize bond draw of March 16, 2026.
The draw is part of the regular prize bond series issued by the State Bank of Pakistan (SBP), offering citizens an opportunity to win cash rewards while maintaining a secure investment.
The grand prize of Rs750,000 (each) was won by bond number 591284.
Five lucky winners secured the second prize of Rs250,000 each, with the bond numbers of 293000, 811470, 721418, 473127, and 659859.
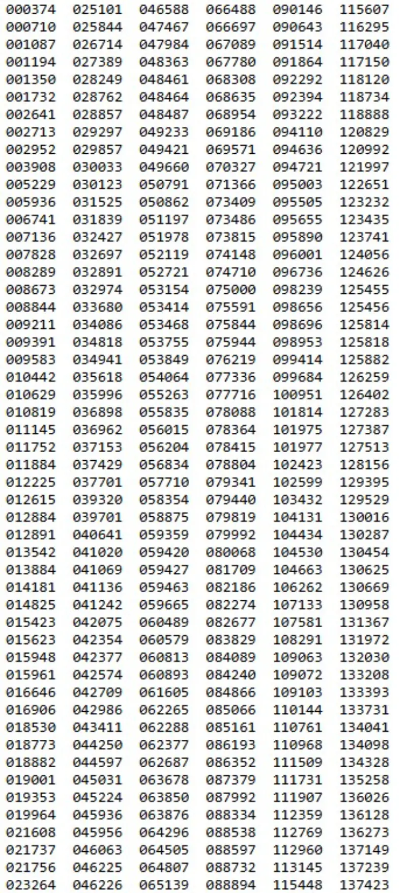
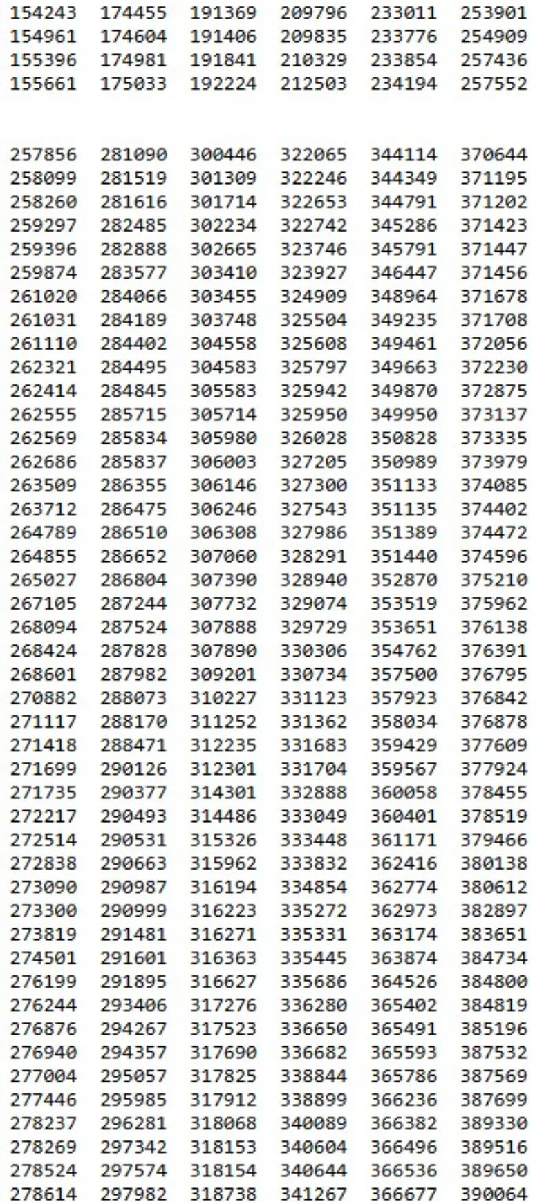
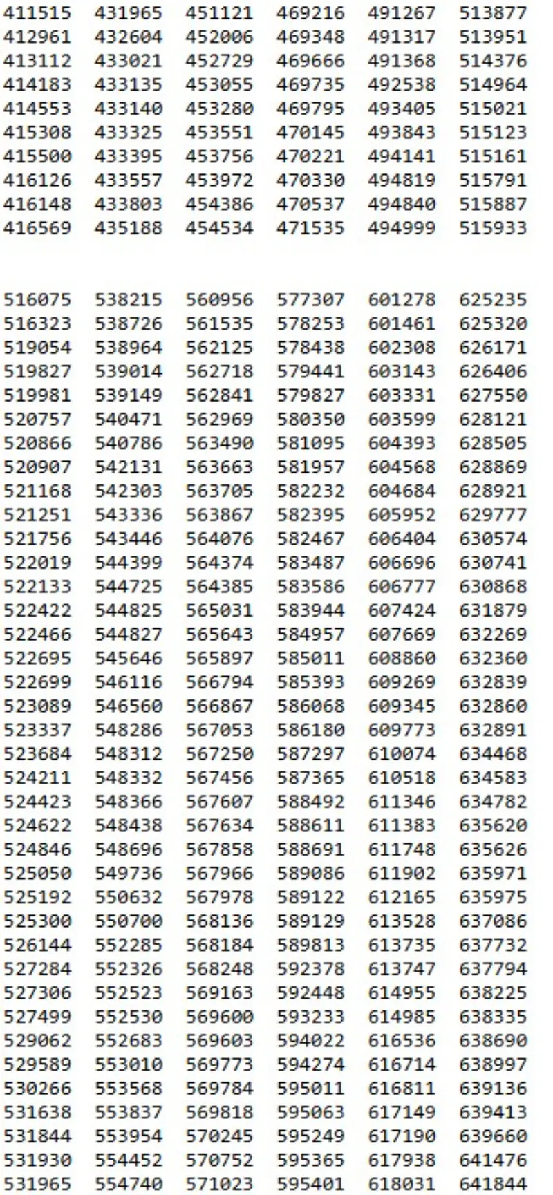
Third Prize: Winners have each won Rs1,250.
Below is the full list:









For the latest news, follow us on Twitter @Aaj_Urdu. We are also on Facebook, Instagram and YouTube.























Comments are closed on this story.