Rs100 prize bond result for February 2026 is already out, see winners’ list here
1 min readThe government has announced the winners of the Rs100 denomination national prize bond draw held on February 16, 2026, in Karachi.
The first prize winner will receive Rs700,000, while three second prize winners will each take home Rs200,000.
A lucky person holding bond number 124915 won the first prize of Rs700,000, while people holding bond numbers 017336, 505165, and 971442 won the second prize of Rs200,000 each.
Moreover, Rs1,000 each was awarded to 1,199 winners.
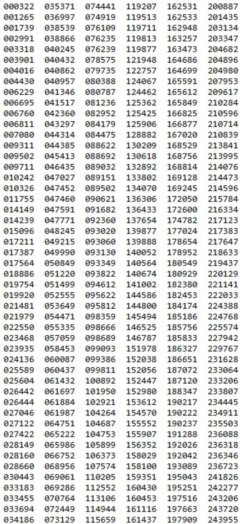
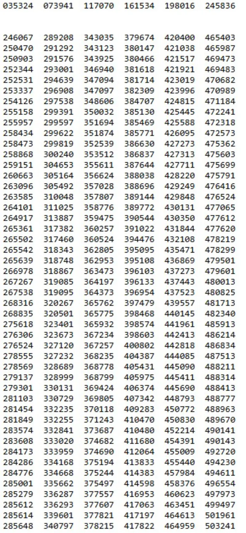
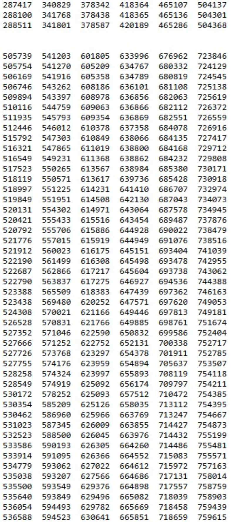
Below is the list:





For the latest news, follow us on Twitter @Aaj_Urdu. We are also on Facebook, Instagram and YouTube.






















Comments are closed on this story.