Rs750 prize bond winners for January 15, 2026 announced, check here full list
1 min readThe National Savings Centre announced the results of the Rs750 prize bond draw held in Peshawar on Thursday (January 15, 2026).
According to the official announcement, the first prize of Rs1,500,000 went to bond number 809258.
The second prize, worth Rs500,000 each, was won by bond numbers 488890, 748328, and 746418.

The draw was conducted at the National Savings Division office in Peshawar under the supervision of authorised officials.
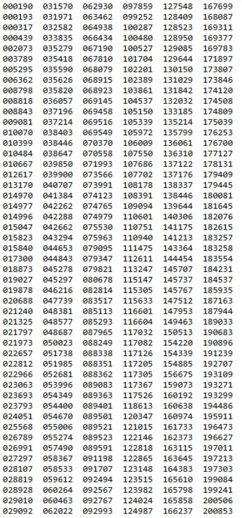
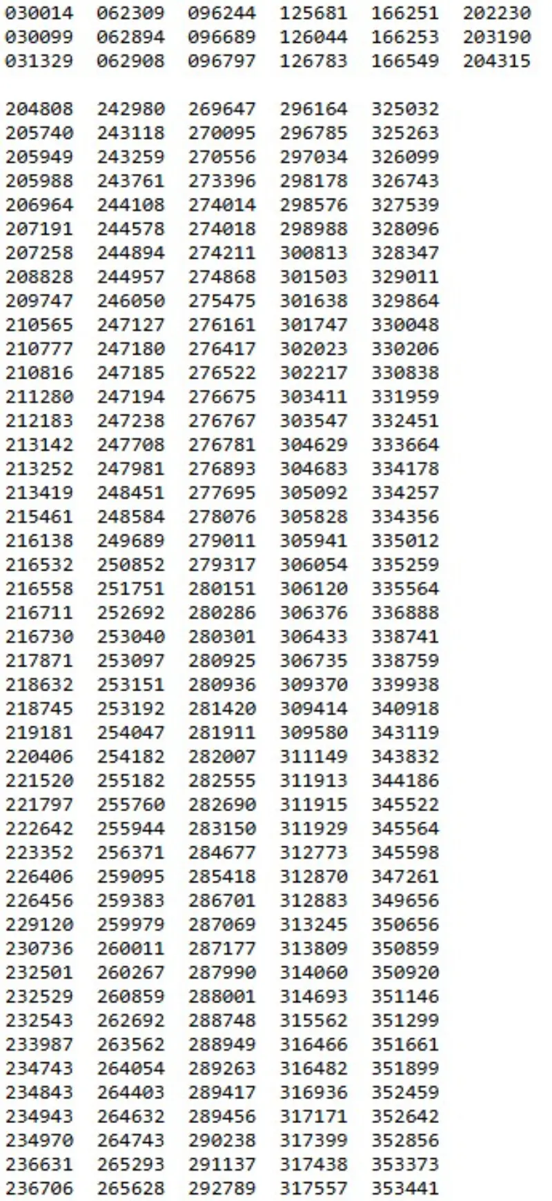
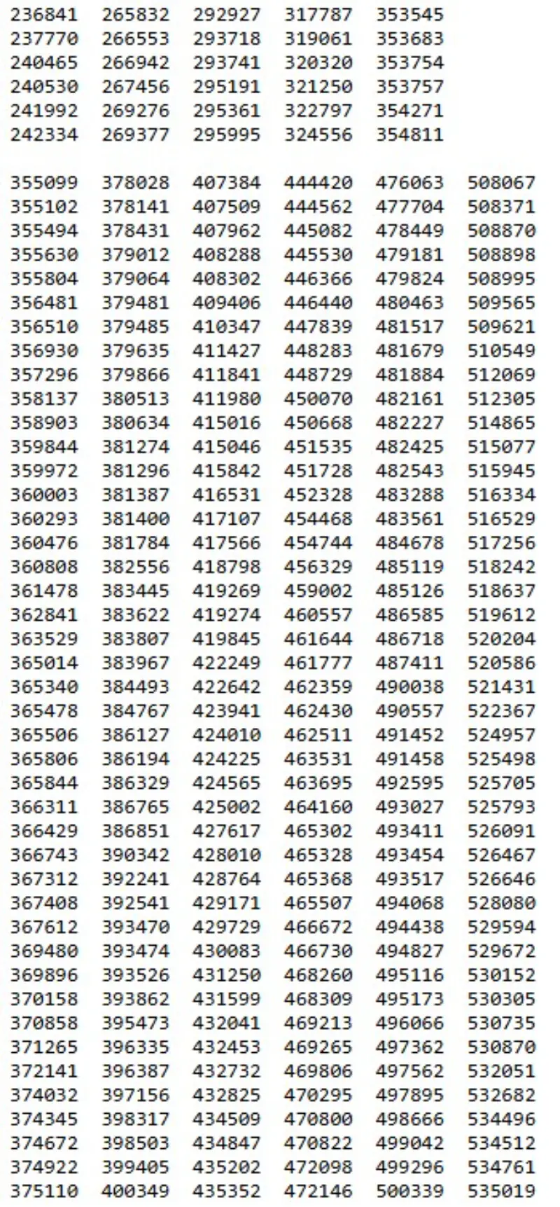
Third Prize of Rs 9,300 each:







For the latest news, follow us on Twitter @Aaj_Urdu. We are also on Facebook, Instagram and YouTube.





















Comments are closed on this story.