Rs750 prize bond winners for April 15, 2026 announced, check here full list
1 min readThe National Savings Centre announced the results of the Rs750 prize bond draw held in Quetta on Wednesday (April 15, 2026).
According to the official announcement, the first prize of Rs1,500,000 each went to bond number 560977.
The second prize, worth Rs500,000 each, was won by bond numbers 012592, 152138, and 924818.
The draw was conducted at the National Savings Division office in Quetta under the supervision of authorised officials.
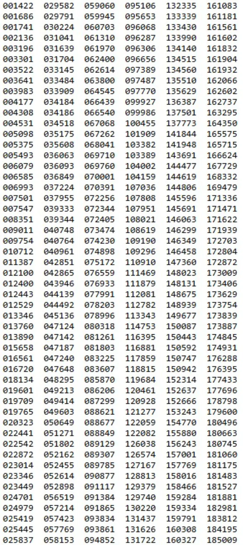
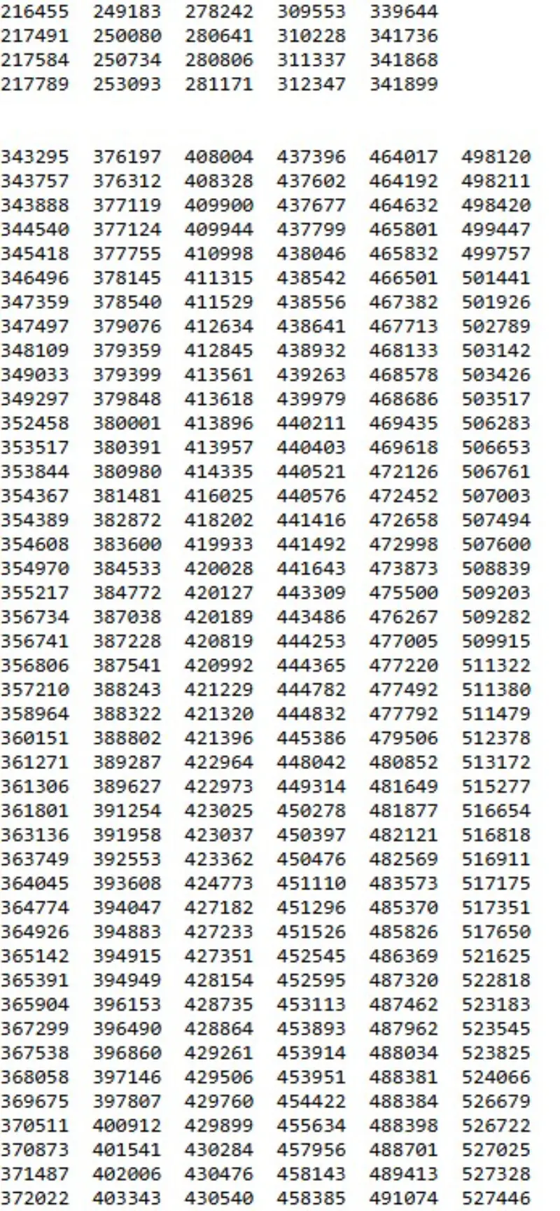
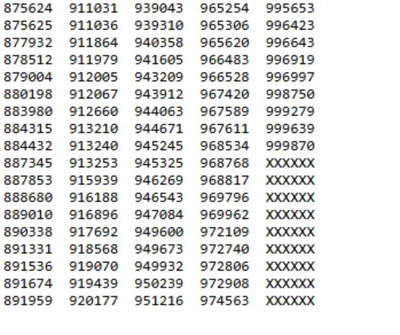
Third Prize of Rs 9,300 each:







For the latest news, follow us on Twitter @Aaj_Urdu. We are also on Facebook, Instagram and YouTube.






















