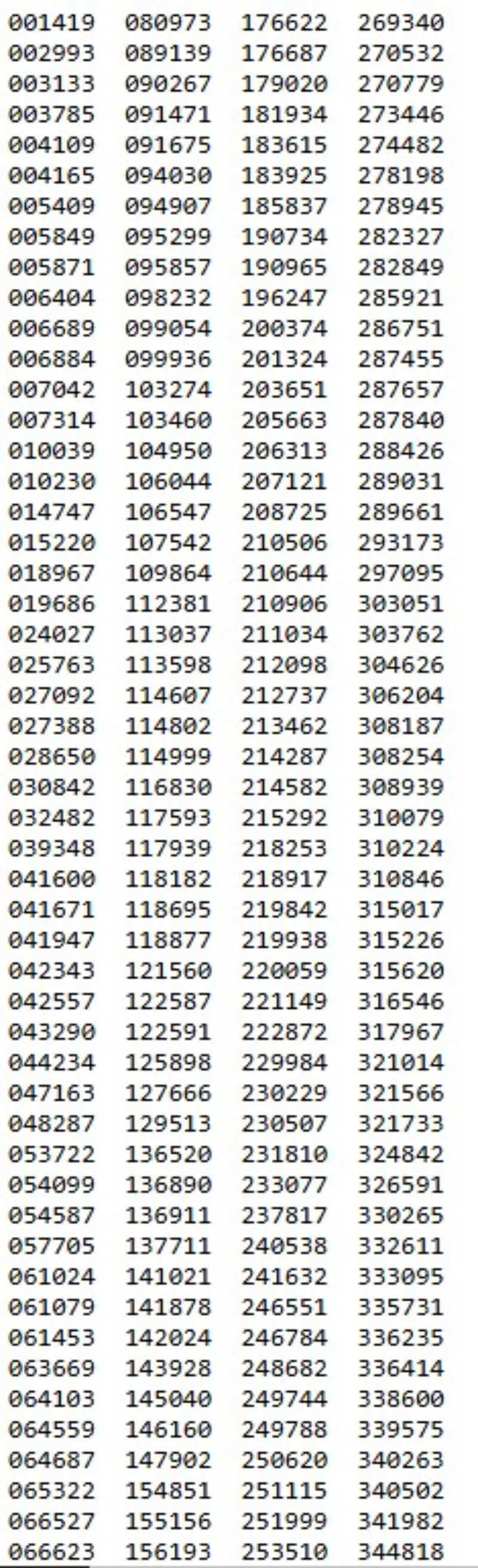
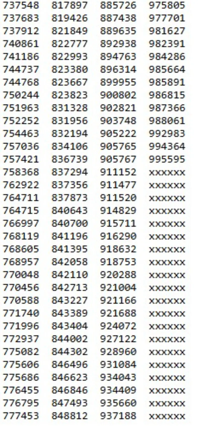
Rs25,000 prize bond winners for March draw announced, check the list here
1 min readThe government has announced the winners of the Rs25,000 denomination national prize bond draw held on March 10, 2026, in Multan.
National Savings declared that two winners bagged the first prize of Rs30 million each, while five winners received the second prize of Rs10 million each.

Additionally, 700 winners were awarded the third prize worth Rs300,000 each.
Below is the list:




For the latest news, follow us on Twitter @Aaj_Urdu. We are also on Facebook, Instagram and YouTube.





















Comments are closed on this story.