Rs40,000 prize bond winners announced, here is the full list
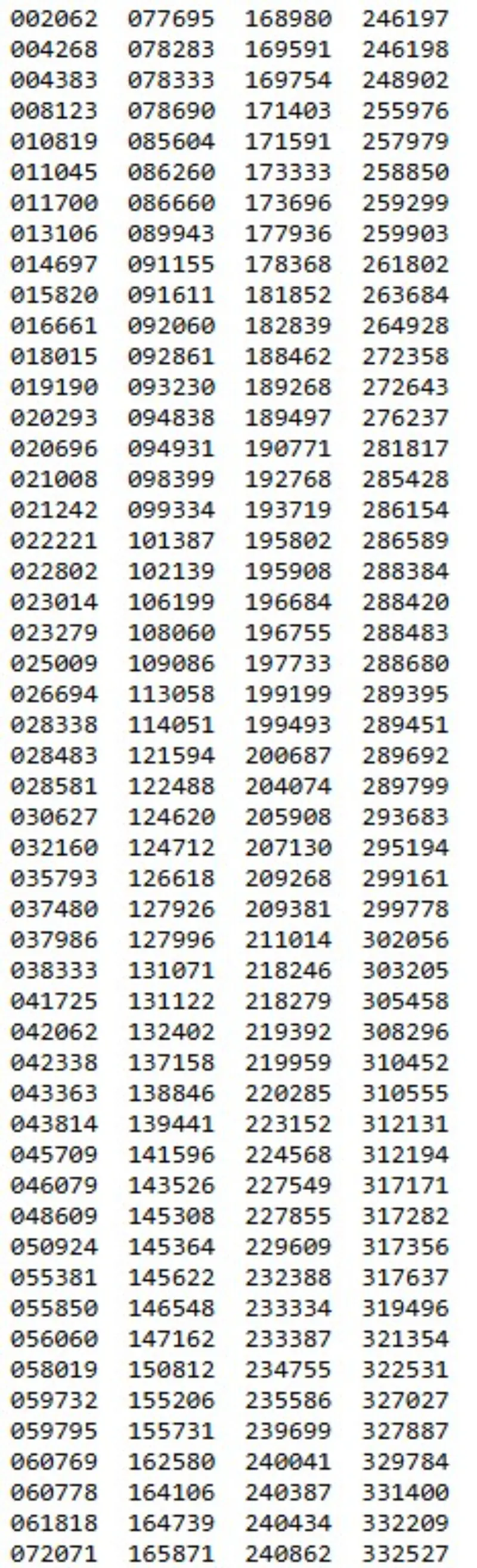
1 min readNational Savings Division shared the results of Rs40,000 Premium Prize Bond draw held on March 10, 2026, in Rawalpindi.
A lucky person holding the bond number 367558 has won the first prize of Rs80,000,000, while people holding bond numbers 463623, 676830, and 855627 won the second prize of Rs30,000,000 each.

Moreover, Rs500,000 each was awarded to 660 prizes.
Below is the list:





For the latest news, follow us on Twitter @Aaj_Urdu. We are also on Facebook, Instagram and YouTube.























Comments are closed on this story.